水廠流量計廠家,市政污水廠污水流量計
點擊次數:2246 發布時間:2021-01-17 06:51:32
KM-LDE水廠流量計測量原理是法拉*電磁感應定律,傳感器主要組成部分是:測量管、電極、勵磁線圈、鐵芯與磁軛殼體。它主要用于測量封閉管道中的導電液體和漿液中的體積流量。包括酸、堿、鹽等強腐蝕性的液體。廣泛應用于石油、化工、冶金、紡織、食品、制藥、造紙等行業以及環保、市政管理,水利建設等領域。采用國內外*先進技術研制、開發的全能智能流量計,在設計產品結構、選材、制定工藝、生產裝配和出廠測試等過程中每一個環節我們都非常細致講究,我們還自行設計了一套國內目前*先進的,專用于流量計的生產設備和流量實流標定裝置,從而在軟件和硬件上都能切實保證產品的高質量。

水廠流量計轉換器選型注意事項
轉換器選型針對分體式電磁流量計而言,分為壁掛式或盤裝式二種,根據現場實際情況,主要考慮以下幾點。
輸出信號的選擇:
①模擬信號輸出:包括4-20mA 輸出、0-20mA 輸出、0-24mA 輸出、0-5V輸出、0-6V輸出、1-5V輸出,共6種,用戶可根據自己的需要,任選一種,切記:這6種輸出只能選取其中的一種,不能同時選取二種輸出。
數字通訊:RS485輸出。詳細參數見說明書。
頻率/脈沖輸出:該脈沖輸出類型可由用戶定義,一種可定義為量程對應1KHz頻率,量程內流量對應的頻率按比例減小;另一種可定義為一個脈沖代表一定(1.0m3、0.1m3 、0.01m3 三種)的累計流量。詳細情況見說明書。
工作環境
②工作環境溫度:-10℃-+55℃;
水廠流量計傳感器選型
傳感器的選型主要考慮因素有:傳感器的種類、口徑、壓力、電極材料、內襯材料、防護等級、尺寸大小、連接法蘭等。
①口徑的選擇:如果是新建的項目或設計,在選擇口徑時,應遵循的原則就是:保證正常流速在0.3m/s---10m/s范圍內即可,*優選擇是正常流量在下面的《口徑、流速、流量的關系表》的斜體紅色數值范圍內。當然,新工程剛上馬,系統流速處于較低狀態,隨著系統的正常運行,流速會處于較高狀態,這時只要更改現場儀表的量程就能適應,不需要更換儀表。如果現場流速過低,而且現場條件允許的話,可以通過在傳感器的前后加裝變徑管,以滿足要求,加裝變徑管應注意以下問題:
*一,為了加裝變徑管后不過多影響流速場的分布,不影響儀表的測量精度,能把變徑管視為直管段的一部分,要求變徑管的中心錐角α不大于15°,越小越好。
水廠流量計工作原理
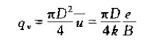
傳感器是根據法拉*電磁感應定律工作的,如工作原理圖所示:

當導電液體沿測量管在交變磁場與磁力線成垂直方向運動時,導電液體切割磁力線產生感應電勢。在與測量管軸線和磁力線相互垂直的管壁上安裝了一對檢測電極,將這個感應電勢檢出。
則有:
E=BVD
式中:E—感應電勢;
B—磁感應強度;
D —電極間的距離,與測量管內徑相等;
V —測量管內被測流體的平均流速。
式(1)中磁場B是恒定不變的,D為一常數,則感應電動勢E與被測流體的平均流速V成正比。通過測量管橫截面上的瞬時體積流量Q與流速V之間的關系為:

水廠流量計特點
1、管道內無可動部件,無阻流部件,測量中幾乎沒有附加壓力損失。
2、測量結果與流速分布、流體壓力、溫度、密度、粘度等物理參數無關。
3、在現場可根據用戶實際需要在線修改量程。
4、高清晰度背光LCD顯示,全中文菜單操作,使用方便,操作簡單,易學易懂。
5、采用SMD器件和表面貼裝(SMT),電路可靠性高。
6、采用16位嵌入式微處理器,運算速度快,精度高,可編程頻率低頻矩形波勵磁,提高了流量測量的穩定性,功耗低。
7、全數字量處理,抗干擾能力強,測量可靠,精度高,流量測量范圍可達150:1。
8、超低EMI開關電源,使用電源電壓變化范圍大,抗EMC好
9、內部具有三個積算器,可分別顯示正向累計量、反向累計量及差值積算量,內部設有不掉電時鐘,可記錄16次掉電時間(選配)。
10、具有RS485、RS232、Hart和Modbus等數字通訊信號輸出(選配)。
11、具有自檢與自論斷功能。
12、紅外手持操作器,115KHZ通訊速率,遠距離非接觸操作轉換器所有功能(選配)。
13、小時總量記錄功能,以小時為單位記錄流量總量,適用于分時計量制(選配)。


水廠流量計轉換器選型注意事項
轉換器選型針對分體式電磁流量計而言,分為壁掛式或盤裝式二種,根據現場實際情況,主要考慮以下幾點。
輸出信號的選擇:
①模擬信號輸出:包括4-20mA 輸出、0-20mA 輸出、0-24mA 輸出、0-5V輸出、0-6V輸出、1-5V輸出,共6種,用戶可根據自己的需要,任選一種,切記:這6種輸出只能選取其中的一種,不能同時選取二種輸出。
數字通訊:RS485輸出。詳細參數見說明書。
頻率/脈沖輸出:該脈沖輸出類型可由用戶定義,一種可定義為量程對應1KHz頻率,量程內流量對應的頻率按比例減小;另一種可定義為一個脈沖代表一定(1.0m3、0.1m3 、0.01m3 三種)的累計流量。詳細情況見說明書。
工作環境
②工作環境溫度:-10℃-+55℃;
水廠流量計傳感器選型
傳感器的選型主要考慮因素有:傳感器的種類、口徑、壓力、電極材料、內襯材料、防護等級、尺寸大小、連接法蘭等。
①口徑的選擇:如果是新建的項目或設計,在選擇口徑時,應遵循的原則就是:保證正常流速在0.3m/s---10m/s范圍內即可,*優選擇是正常流量在下面的《口徑、流速、流量的關系表》的斜體紅色數值范圍內。當然,新工程剛上馬,系統流速處于較低狀態,隨著系統的正常運行,流速會處于較高狀態,這時只要更改現場儀表的量程就能適應,不需要更換儀表。如果現場流速過低,而且現場條件允許的話,可以通過在傳感器的前后加裝變徑管,以滿足要求,加裝變徑管應注意以下問題:
*一,為了加裝變徑管后不過多影響流速場的分布,不影響儀表的測量精度,能把變徑管視為直管段的一部分,要求變徑管的中心錐角α不大于15°,越小越好。
水廠流量計工作原理
傳感器是根據法拉*電磁感應定律工作的,如工作原理圖所示:

當導電液體沿測量管在交變磁場與磁力線成垂直方向運動時,導電液體切割磁力線產生感應電勢。在與測量管軸線和磁力線相互垂直的管壁上安裝了一對檢測電極,將這個感應電勢檢出。
則有:
E=BVD
式中:E—感應電勢;
B—磁感應強度;
D —電極間的距離,與測量管內徑相等;
V —測量管內被測流體的平均流速。
式(1)中磁場B是恒定不變的,D為一常數,則感應電動勢E與被測流體的平均流速V成正比。通過測量管橫截面上的瞬時體積流量Q與流速V之間的關系為:

水廠流量計特點
1、管道內無可動部件,無阻流部件,測量中幾乎沒有附加壓力損失。
2、測量結果與流速分布、流體壓力、溫度、密度、粘度等物理參數無關。
3、在現場可根據用戶實際需要在線修改量程。
4、高清晰度背光LCD顯示,全中文菜單操作,使用方便,操作簡單,易學易懂。
5、采用SMD器件和表面貼裝(SMT),電路可靠性高。
6、采用16位嵌入式微處理器,運算速度快,精度高,可編程頻率低頻矩形波勵磁,提高了流量測量的穩定性,功耗低。
7、全數字量處理,抗干擾能力強,測量可靠,精度高,流量測量范圍可達150:1。
8、超低EMI開關電源,使用電源電壓變化范圍大,抗EMC好
9、內部具有三個積算器,可分別顯示正向累計量、反向累計量及差值積算量,內部設有不掉電時鐘,可記錄16次掉電時間(選配)。
10、具有RS485、RS232、Hart和Modbus等數字通訊信號輸出(選配)。
11、具有自檢與自論斷功能。
12、紅外手持操作器,115KHZ通訊速率,遠距離非接觸操作轉換器所有功能(選配)。
13、小時總量記錄功能,以小時為單位記錄流量總量,適用于分時計量制(選配)。

上一篇:苯酚流量計選型,苯酚專用計量表


